1 教科書P13を見ながら、板書事項の【例3】を授業ノートに書きましょう。
板書で空欄になっている所は、自分で考えて適切な符号や数字を書き入れましょう。

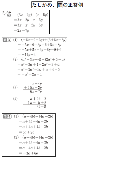
2 【定着学習】:『振り返り』として、「たしかめ3」、「問3」、「問4」、「補充の問題P184『2』」、「数学の友P3『2』~『5』」に取り組みましょう。それぞれの問題が終わったら、解答を見て丸つけをしましょう。 間違った問題やできなかった問題は、正しい求め方を赤で書きましょう。
3 【チャレンジ学習】余裕があったらチャレンジしよう。
e-boad 中学数学「文字式の計算」https://www.eboard.jp/content/317/
<子どもの学びサイト:文部科学省より>


1 板書をノートに写しましょう。
2 1~3の問題に、教科書P.2~3を見ながらチャレンジしてみましょう。
3 【定着学習】:「地理ワーク」のP.2に取り組みましょう。問題が終わったら、解答を見て丸つけをしましょう。間違った問題やできなかった問題は、正しい答えを赤で書きましょう。
4 【チャレンジ学習】:余裕があったらチャレンジしてみましょう。「地理ワーク」P.16の1番の問題にチャレンジしてみましょう。

1 教科書P13を見ながら、板書事項の例1を授業ノートに書きましょう。板書で空欄になっている所は、自分で考えて適切な数式を書き入れましょう。
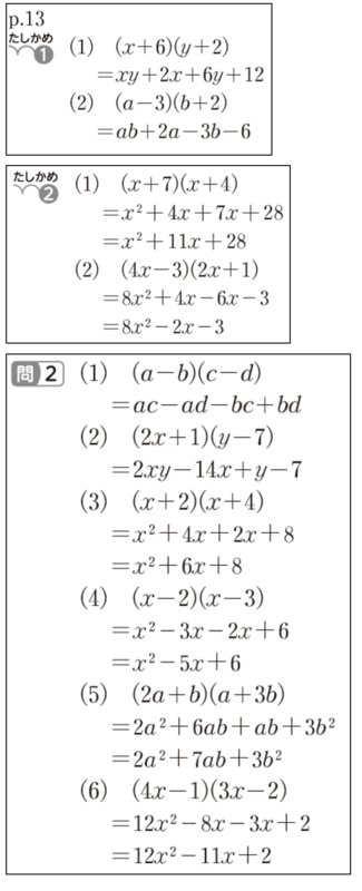
2 練習問題として、「たしかめ①」を授業ノートに取り組みましょう。終わったら、答えの画像を見て丸つけをしましょう。間違った問題やできなかった問題は、正しい求め方をノートに赤で書きましょう。
3 教科書P13を見ながら、板書事項の「例2」を授業ノートに書きましょう。
板書で空欄になっている所は、自分で考えて適切な数式を書き入れましょう。
4 練習問題として、「たしかめ②」、「問2」を授業ノートに取り組みましょう。終わったら、答えの画像を見て丸つけをしましょう。間違った問題やできなかった問題は、正しい求め方をノートに赤で書きましょう。
5【定着学習】数学の友のP3に取り組みましょう。 終わったら、解答を見て丸つけをしましょう。 間違った問題やできなかった問題は、正しい求め方を数学の友の空いているスペースに赤で書きましょう。

1 まず、声に出して板書事項を発音してみましょう。(音声を聞きながら◎)、板書をまとめましょう。(be動詞〔am, is, are〕の復習もしっかり行おう!)

2 教科書p.6-7の音読と新出語句の確認をしましょう。(しっかり声に出して発音する!)
3 be動詞の過去形を使って,肯定文、否定文、疑問文を自分で考えて文を作ってみよう。
(例:He wasn’t in the park. I was happy. Were you busy?-Yes, I was. , No, I wasn’t. Was it sunny yesterday?, etc…)
4 【定着学習】配付した課題ももう一度学習して、be動詞の過去形の用法に慣れよう!
5【チャレンジ学習】「e board 中2英語 be動詞の過去形」で検索。問題をやってみましょう。
「e board 中2英語 be動詞の過去形」https://www.eboard.jp/content/153/ <子供の学びサイトより 文部科学省>
1 教科書P26~32までを1回音読する。
2 ワーク「国語の学習1」P10~12の漢字・語句に取り組みましょう。

【定着学習】 板書をノートに写したら、ワーク「国語の学習1」P10~12の問題を解きましょう。
【チャレンジ学習】作者 瀬尾まいこさんの他の作品を読んでみよう。「あと少し・もう少し」「卵の緒」など